郑州理工职业学院《高等数学Ⅰ》高起专原题及答案(青书学堂)

爱蛋 发表于 前天 22:02|来自:上海 | 显示全部楼层 |阅读模式

郑州理工职业学院《高等数学Ⅰ》高起专原题及答案(青书学堂) 图1

郑州理工职业学院《高等数学Ⅰ》高起专原题及答案(青书学堂) 图1

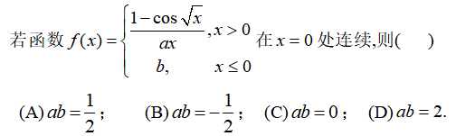
1、函数f(x)在店x₀的导数f′(x₀)定义为(    )

郑州理工职业学院《高等数学Ⅰ》高起专原题及答案(青书学堂) 图2

郑州理工职业学院《高等数学Ⅰ》高起专原题及答案(青书学堂) 图2

答案:D

2、微分方程

郑州理工职业学院《高等数学Ⅰ》高起专原题及答案(青书学堂) 图3

郑州理工职业学院《高等数学Ⅰ》高起专原题及答案(青书学堂) 图3
的通解是(   )

郑州理工职业学院《高等数学Ⅰ》高起专原题及答案(青书学堂) 图4

郑州理工职业学院《高等数学Ⅰ》高起专原题及答案(青书学堂) 图4

答案:A

3、微分方程

郑州理工职业学院《高等数学Ⅰ》高起专原题及答案(青书学堂) 图5

郑州理工职业学院《高等数学Ⅰ》高起专原题及答案(青书学堂) 图5
的一个特解应设为

郑州理工职业学院《高等数学Ⅰ》高起专原题及答案(青书学堂) 图6

郑州理工职业学院《高等数学Ⅰ》高起专原题及答案(青书学堂) 图6
(  )
A、(ax+b)eˣ
B、x(ax+b)eˣ
C、x²(ax+b)eˣ
D、x(ax)eˣ
答案:A
4、设曲线C是从点A(1,0)到点B(-1,2)的直线段,则

郑州理工职业学院《高等数学Ⅰ》高起专原题及答案(青书学堂) 图7

郑州理工职业学院《高等数学Ⅰ》高起专原题及答案(青书学堂) 图7
(    )
A、

郑州理工职业学院《高等数学Ⅰ》高起专原题及答案(青书学堂) 图9

郑州理工职业学院《高等数学Ⅰ》高起专原题及答案(青书学堂) 图9

B、0
C、2
D、

郑州理工职业学院《高等数学Ⅰ》高起专原题及答案(青书学堂) 图8

郑州理工职业学院《高等数学Ⅰ》高起专原题及答案(青书学堂) 图8

答案:A

5、设函数f(x)=(eˣ-1)(e²ˣ-2)…(eⁿˣ-n),其中n为正整数,则f′(0)=(    )
A、(-1)ⁿ⁻¹(n-1)!;
B、(-1)ⁿ(n-1)!;
C、(-1)ⁿ⁻¹n!;
D、(-1)ⁿn!.
答案:A
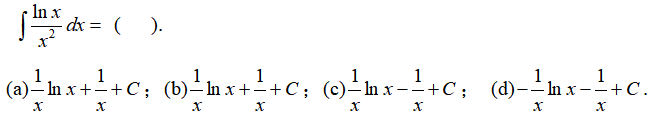
6、二重积分

郑州理工职业学院《高等数学Ⅰ》高起专原题及答案(青书学堂) 图10

郑州理工职业学院《高等数学Ⅰ》高起专原题及答案(青书学堂) 图10
的值为(    )
A、1/6
B、1/12
C、1/2
D、1/4
答案:B

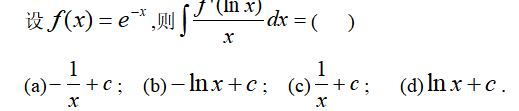
7、

郑州理工职业学院《高等数学Ⅰ》高起专原题及答案(青书学堂) 图11

郑州理工职业学院《高等数学Ⅰ》高起专原题及答案(青书学堂) 图11

答案:D
8、

郑州理工职业学院《高等数学Ⅰ》高起专原题及答案(青书学堂) 图12

郑州理工职业学院《高等数学Ⅰ》高起专原题及答案(青书学堂) 图12

A、0
B、1
C、2
D、3
答案:C

9、设L为取逆时针方向的圆周x²+y²=54,则

郑州理工职业学院《高等数学Ⅰ》高起专原题及答案(青书学堂) 图13

郑州理工职业学院《高等数学Ⅰ》高起专原题及答案(青书学堂) 图13
(    )
A、54π
B、-54π
C、-108π
D、108π
答案:D
10、已知函数f(x)在x=0处可导,且f(0)=0,则

郑州理工职业学院《高等数学Ⅰ》高起专原题及答案(青书学堂) 图14

郑州理工职业学院《高等数学Ⅰ》高起专原题及答案(青书学堂) 图14

A、-2f′(0);
B、-f′(0);
C、f′(0);
D、0
答案:B
11、若

郑州理工职业学院《高等数学Ⅰ》高起专原题及答案(青书学堂) 图15

郑州理工职业学院《高等数学Ⅰ》高起专原题及答案(青书学堂) 图15
f(x)dx=e²e²ˣ+c,则f(x)=(    )
A、2xe²ˣ;
B、2x²e²ˣ
C、2xe²ˣ(1+x);
D、(d)xe²ˣ
答案:C

12、设f(x,y)是连续函数,a>0,则

郑州理工职业学院《高等数学Ⅰ》高起专原题及答案(青书学堂) 图16

郑州理工职业学院《高等数学Ⅰ》高起专原题及答案(青书学堂) 图16
等于(    )
A、

郑州理工职业学院《高等数学Ⅰ》高起专原题及答案(青书学堂) 图17

郑州理工职业学院《高等数学Ⅰ》高起专原题及答案(青书学堂) 图17

B、

郑州理工职业学院《高等数学Ⅰ》高起专原题及答案(青书学堂) 图18

郑州理工职业学院《高等数学Ⅰ》高起专原题及答案(青书学堂) 图18

C、

郑州理工职业学院《高等数学Ⅰ》高起专原题及答案(青书学堂) 图19

郑州理工职业学院《高等数学Ⅰ》高起专原题及答案(青书学堂) 图19

D、

郑州理工职业学院《高等数学Ⅰ》高起专原题及答案(青书学堂) 图16

郑州理工职业学院《高等数学Ⅰ》高起专原题及答案(青书学堂) 图16

答案:B
13、方程

郑州理工职业学院《高等数学Ⅰ》高起专原题及答案(青书学堂) 图17

郑州理工职业学院《高等数学Ⅰ》高起专原题及答案(青书学堂) 图17
所表示的图形是(    )
A、单叶双曲面        
B、双叶双曲面        
C、椭球面     
D、双曲抛物面
答案:B

14、下列f(x)与g(x)是相同的函数是(    )

郑州理工职业学院《高等数学Ⅰ》高起专原题及答案(青书学堂) 图18

郑州理工职业学院《高等数学Ⅰ》高起专原题及答案(青书学堂) 图18

答案:B
15、设f(x)在(-∞,+∞)内有定义,且

郑州理工职业学院《高等数学Ⅰ》高起专原题及答案(青书学堂) 图19

郑州理工职业学院《高等数学Ⅰ》高起专原题及答案(青书学堂) 图19
,则()
A、x=0必是g(x)的第一类间断点;
B、x=0必是g(x)的第二类间断点;
C、x=0必是g(x)的连续点;
D、g(x)在点x=0处的连续性与a的取值有关;
答案:D

16、函数z=2x+y在点(1,2)沿各方向的方向导数的最大值为(    )
A、3
B、0
C、

郑州理工职业学院《高等数学Ⅰ》高起专原题及答案(青书学堂) 图20

郑州理工职业学院《高等数学Ⅰ》高起专原题及答案(青书学堂) 图20

D、2
答案:C

17、

郑州理工职业学院《高等数学Ⅰ》高起专原题及答案(青书学堂) 图21

郑州理工职业学院《高等数学Ⅰ》高起专原题及答案(青书学堂) 图21

答案:A
18、设∑是球面x²+y²+z²=2的外侧,则

郑州理工职业学院《高等数学Ⅰ》高起专原题及答案(青书学堂) 图23

郑州理工职业学院《高等数学Ⅰ》高起专原题及答案(青书学堂) 图23
(   )
A、0
B、2
C、π
D、

郑州理工职业学院《高等数学Ⅰ》高起专原题及答案(青书学堂) 图22

郑州理工职业学院《高等数学Ⅰ》高起专原题及答案(青书学堂) 图22

答案:A

19、

郑州理工职业学院《高等数学Ⅰ》高起专原题及答案(青书学堂) 图24

郑州理工职业学院《高等数学Ⅰ》高起专原题及答案(青书学堂) 图24

答案:C
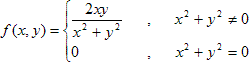
20、函数

郑州理工职业学院《高等数学Ⅰ》高起专原题及答案(青书学堂) 图25

郑州理工职业学院《高等数学Ⅰ》高起专原题及答案(青书学堂) 图25
在点(0,0)处(      )
A、连续且偏导存在
B、不连续且不存在偏导
C、连续但不存在偏导
D、偏导存在但不连续
答案:D

21、下列命题正确的是(    )

郑州理工职业学院《高等数学Ⅰ》高起专原题及答案(青书学堂) 图26

郑州理工职业学院《高等数学Ⅰ》高起专原题及答案(青书学堂) 图26

答案:C

22、f(x)在某区间内具备了条件(    )就可保证它的原函数一定存在
A、有极限存在;
B、连续;
C、有界;
D、有有限个间断点
答案:B

23、曲线y=(x-1)³的拐点是(    )
A、(-1,8)
B、(1,0)
C、(0,-1)
D、(0,1)
答案:B




















回复

使用道具 举报

全部回复0 显示全部楼层
暂无回复,精彩从你开始!

快速回帖

您需要登录后才可以回帖 登录 | 立即注册

本版积分规则

楼主

新手上路
  • 主题

    7
  • 回复

    5
  • 积分

    19

热门推荐