河南财大成教《概率论与数理统计》专升本课程原题及答案

人头马一开好事自然来 发表于 2024-12-21 13:20:58|来自:中国 | 显示全部楼层 |阅读模式

河南财大成教《概率论与数理统计》专升本课程原题及答案 图1

河南财大成教《概率论与数理统计》专升本课程原题及答案 图1
1、已知随机变量x的概率函数为

河南财大成教《概率论与数理统计》专升本课程原题及答案 图2

河南财大成教《概率论与数理统计》专升本课程原题及答案 图2
,k=1,2,…,则A=(     )
A、2
B、1
C、1/2
D、1/3
答案:B

2、设二维随机变量(X,Y)的分布律为

河南财大成教《概率论与数理统计》专升本课程原题及答案 图3

河南财大成教《概率论与数理统计》专升本课程原题及答案 图3

A、0.3
B、0.5
C、0.7
D、0.8
答案:A

3、设随机变量X服从参数λ=1的泊松分布,Y~B(4,0.8).已知 D(X+Y)=2.6,则它们的相关系数

河南财大成教《概率论与数理统计》专升本课程原题及答案 图4

河南财大成教《概率论与数理统计》专升本课程原题及答案 图4
=_____________
A、0.8
B、0.7
C、0.6
D、0.5
答案:C

4、设A,B为两个随机事件,且B⊂A,P(B)>0,则P(A|B)=(    )
A、1
B、P(A)
C、P(B)
D、P(AB)
答案:A

5、设随机变量Y服从参数为1的指数分布,则关于x的二次方程4x²+4xY+Y+2=0 有实根的概率为(     )
A、3/5
B、

河南财大成教《概率论与数理统计》专升本课程原题及答案 图5

河南财大成教《概率论与数理统计》专升本课程原题及答案 图5

C、

河南财大成教《概率论与数理统计》专升本课程原题及答案 图5

河南财大成教《概率论与数理统计》专升本课程原题及答案 图5

D、e²
答案:C

6、已知P(A)=0.6,P(A-B)=0.3,则

河南财大成教《概率论与数理统计》专升本课程原题及答案 图6

河南财大成教《概率论与数理统计》专升本课程原题及答案 图6
为(    )
A、0.6
B、0.7
C、0.8
D、0.9
答案:B

7、已知事件A,B,A∪B的概率分别为0.5,0.4,0.6,则P(A

河南财大成教《概率论与数理统计》专升本课程原题及答案 图7

河南财大成教《概率论与数理统计》专升本课程原题及答案 图7
)  
A、0.1                                                                  
B、0.2
C、0.3                                                                    
D、0.5
答案:B

8、有三枚硬币,其中一枚两面都是正面图像,另一枚两面都是反面图像,第三枚是正常硬币.现从中任取一枚进行抛掷,得到正面向上,则另一面是反面的概率为____________
A、1/4                                                                  
B、1/3
C、1/2                                                                    
D、1/5
答案:B

9、设A,B为两个随机事件,且B⊂A,P(B)>0,则P(A|B)=(    )
A、1
B、P(A)
C、P(B)
D、P(AB)
答案:A

10、设二维随机向量(X,Y)只取四个点(0,0),(1,1),(1,2),(2.0),且相应概率依次为1/2,1/6,1/6,a,则P(Y=0)=(    )
A、7/12
B、1/2
C、1/6
D、2/3
答案:D

11、设A与B是任意两个互不相容事件,则下列结论中正确的是(    )
A、P(A)=1-P(B)                                             
B、P(A-B)=P(B)
C、P(AB)=P(A)P(B)                                       
D、P(A-B)=P(A)
答案:D

12、已知Y=-3X+1,则

河南财大成教《概率论与数理统计》专升本课程原题及答案 图8

河南财大成教《概率论与数理统计》专升本课程原题及答案 图8
=(    )
A、0
B、1
C、-1
D、2
答案:C

13、设 A、B 为任意两个事件,则有(      )
A、(A∪B)- B = A
B、(A-B)∪B = A
C、(A∪B)- B ⊂ A
D、(A-B)∪B ⊂ A
答案:C

14、设(X,Y)服从区域 D={(x,y)|0<x<1,0<y<1}上的均匀分布,则P{X+Y≤1}= (    )
A、π/2
B、1/2
C、π/4
D、1/4
答案:B

15、已知随机变量X的概率函数为

河南财大成教《概率论与数理统计》专升本课程原题及答案 图9

河南财大成教《概率论与数理统计》专升本课程原题及答案 图9
则A=()
A、0.7
B、0.6
C、0.5
D、0.4
答案:A

16、抛掷两枚硬币,若事件A表示“至少一枚为正面”,则

河南财大成教《概率论与数理统计》专升本课程原题及答案 图10

河南财大成教《概率论与数理统计》专升本课程原题及答案 图10
表示(    )
A、至少一枚为反面
B、至少一枚不为反面
C、两枚皆为反面
D、两枚皆为正面
答案:C
17、设随机变量x的概率密度为

河南财大成教《概率论与数理统计》专升本课程原题及答案 图11

河南财大成教《概率论与数理统计》专升本课程原题及答案 图11
则K=( )。
A、5/16
B、1/2
C、3/4
D、4/5
答案:C

18、设随机变量X~B(3,0.4),则P{X≥1}=(     )
A、0.352                                                   
B、0.432
C、0.784                                                     
D、0.936
答案:C

19、将一枚均匀的硬币抛掷三次,恰有一次出现正面的概率为( )
A、0.125                                                      
B、0.25
C、0.375                                                      
D、0.5
答案:C

20、设(X,Y)~N(1,1,1,1,0.5),则Cov(2x,Y+3)=(    )
A、5
B、3
C、1
D、4
答案:C

21、有10个零件,其中混入了2个次品,从中随机地抽取3个,其中最多一个正品的概率为()
A、2/10
B、1/10
C、8/15
D、7/15
答案:C
22、设(X,Y)的联合概率密度为f(x,y)=

河南财大成教《概率论与数理统计》专升本课程原题及答案 图12

河南财大成教《概率论与数理统计》专升本课程原题及答案 图12
,则P{Y≤X}=(    )
A、0.1
B、0.2
C、0.3
D、0.4
答案:D

23、某人射击三次,其命中率为0.7,则三次中至多击中一次的概率为(    )
A、0.027
B、0.081
C、0.189
D、0.216
答案:D

24、二维随机变量(x,Y)的联合概率密度为

河南财大成教《概率论与数理统计》专升本课程原题及答案 图13

河南财大成教《概率论与数理统计》专升本课程原题及答案 图13


则随机变量x与y为(   )。
A、独立同分布         
B、独立不同分布      
C、不独立同分布   
D、不独立不同分布
答案:A

25、设随机变量X的取值为0,1,2,3,取这些值的概率分别为0.2,0.3,k,0.1,则k=(  )
A、0.1                                                         
B、0.2
C、0.3                                                         
D、0.4
答案:D
26、随机变量x的密度函数为

河南财大成教《概率论与数理统计》专升本课程原题及答案 图14

河南财大成教《概率论与数理统计》专升本课程原题及答案 图14
,则常数 A=(    )
A.1
B.1/2
C.1/3
D.1/4
答案:B

27、投掷两枚骰子,事件A表示第一次得到“1”点,下列事件与事件A不独立的是()
A、第二次得到“1”点;
B、第二次得到“3”点;
C、两次点数之和为7;
D、两次点数之和为8;
答案:D

28、己知随机变量x~N(2,9),则下列随机变量服从 N(0,1)的是(    )
A、(X+2)/3
B、(X-2)/3
C、(X+2)/9
D、(X-2)/9
答案:B
29、随机变量X的分布函数为

河南财大成教《概率论与数理统计》专升本课程原题及答案 图15

河南财大成教《概率论与数理统计》专升本课程原题及答案 图15
,则P{-1≤x≤0.25}=(    )
A、1
B、1/4
C、1/2
D、1/3
答案:C

30、设A,B为两事件,已知P(A)=1/3,P(A|B)=,P(BIA)=2/3,P(

河南财大成教《概率论与数理统计》专升本课程原题及答案 图16

河南财大成教《概率论与数理统计》专升本课程原题及答案 图16
|A)=3/5,则P(B)=(    )
A、1/5
B、2/5
C、3/5
D、4/5
答案:A

31、设随机变量X,Y相互独立,且X~N(2,1),Y~N(1,1),则(  )
A.P{X-Y≤1}=0.5                                       
B. P{X-Y≤0}=0.5
C. P{X+Y≤1}=0.5                                      
D. P{X+Y≤0}=0.5
答案:A

32、下列说法正确的是:()
A.若事件A、B互不相容,则事件A、B独立;
B.若事件A、B独立,则事件A、B互不相容;
C.若事件A是必然事件,则P(A)=1;
D.若P(A)=1,则事件A是必然事件
答案:C

33、抛掷两枚硬币,若事件A表示“两枚皆为反面”,则

河南财大成教《概率论与数理统计》专升本课程原题及答案 图17

河南财大成教《概率论与数理统计》专升本课程原题及答案 图17
表示
A、至少一枚为正面
B、至少一枚为反面
C、两枚皆为正面
D、两枚皆不为正面
答案:A

34、X服从区间[-1,1]上的均匀分布,服从参数为2的指数分布,且x与Y独立,则D(X-2Y+1)=(      )
A、1/3
B、5/6
C、4/3
D、7/3
答案:C

35、某人射击三次,其命中率为0.8,则三次中至多命中一次的概率为(   )。
A、0.002      
B、0.04        
C、0.08         
D、0.104
答案:D

36、设事件 A,B互不相容,已知P(A)=0.4,P(B)=0.5,则

河南财大成教《概率论与数理统计》专升本课程原题及答案 图18

河南财大成教《概率论与数理统计》专升本课程原题及答案 图18
=(    )
A、0.1
B、0.4
C、0.9
D、1
答案:A

37、设随机变量 X,Y相互独立,x~N(0,2²),Y 服从区间[1,3]的均匀分布,则D(X-3Y)=(    )
A、7
B、1
C、5
D、3
答案:A
38、己知随机变量X的概率函数为

河南财大成教《概率论与数理统计》专升本课程原题及答案 图19

河南财大成教《概率论与数理统计》专升本课程原题及答案 图19
,k=1,2,…,则A=(      )
A、0
B、1/4
C、1/2
D、1
答案:D

39、根据以往的资料,某一三口之家患某种传染病的概率有以下规律: P{孩子得病}=0.6,P{母亲得病|孩子得病}=0.5,P{父亲得病|母亲及孩子得病}=0.4,则母亲及孩子得病而父亲未得病的概率为()
A、0.18
B、0.12
C、0.08
D、0.16
答案:A
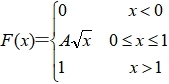
40、设随机变量X的分布函数为

河南财大成教《概率论与数理统计》专升本课程原题及答案 图20

河南财大成教《概率论与数理统计》专升本课程原题及答案 图20
则A=(    )
A、0
B、1/2
C、1
D、2
答案:C

41、设随机变量X和Y有DX=25,DY=36,

河南财大成教《概率论与数理统计》专升本课程原题及答案 图21

河南财大成教《概率论与数理统计》专升本课程原题及答案 图21
=0.4,则 D(X+Y)=(      )
A、37
B、49
C、73
D、85
答案:D

42、投掷两枚骰子,事件A表示第一次得到“5”点,下列事件与事件A独立的是()
A、两次点数之和为5
B、两次点数之和为6;
C、两次点数之和为7;
D、两次点数之和为8;
答案:C

43、随机变量X的取值为-1,0,1,概率比为1:2:3,则EX=()
A、1/3
B、1/2
C、2/3
D、1/6
答案:A

44、已知随机变量X~N(3,4),则下列随机变量服从 N(0,1)的是(      )
A、(X-3)/2
B、(X+3)/2
C、(X-3)/4
D、(X+3)/4
答案:A

45、设书籍中每页的印刷错误数服从泊松分布,经统计发现在某本书上,有一个印刷错误的页数与有2个印刷错误的页数相同,任意检验4页,恰有2页上没有印刷错误的概率为(    )

河南财大成教《概率论与数理统计》专升本课程原题及答案 图22

河南财大成教《概率论与数理统计》专升本课程原题及答案 图22

答案:D

46、同时抛掷3枚均匀的硬币,则恰好三枚均为正面朝上的概率为(     )
A、0.125
C、0.375
B、0.25
D、0.5
答案:A

47、设随机事件A与B互不相容,P(A)=0.2,P(B)=0.4,则P(B|A)=(    )
A、0
B、0.2
C、0.4
D、1
答案:A

48、假设X服从区间[0,1]上的均匀分布,Y服从参数为1的指数分布,并且彼此相互独立,则P(Y≤X)=(    )

河南财大成教《概率论与数理统计》专升本课程原题及答案 图23

河南财大成教《概率论与数理统计》专升本课程原题及答案 图23

答案:A

阶段测验

1、设二维随机向量(X,Y)只取四个点(0,0),(-1,1),(1,-1),(1,1),且相应的概率依次为2/3,1/6,1/9,1/18,则F(0,1)=(    )
A、1/6
B、2/3
C、5/6
D、1
答案:C

2、有三枚硬币,其中一枚两面都是正面图像,另一枚两面都是反面图像,第三枚是正常硬币.现从中任取一枚进行抛掷,得到正面向上,则另一面是反面的概率为____________
A、1/4
B、1/3
C、1/2
D、1/5
答案:B

3、假设X服从区间[0,1]上的均匀分布,Y服从参数为1的指数分布,并且彼此相互独立,则P(Y≤X)=(    )

河南财大成教《概率论与数理统计》专升本课程原题及答案 图24

河南财大成教《概率论与数理统计》专升本课程原题及答案 图24
答案:A

4、设随机变量X,Y相互独立,X~N(0,2²),Y服从区间[1,3]的均匀分布,则D(X-3Y)=(    )
A、7
B、1
C、5
D、3
答案:A

5、随机变量X的取值为-1,0,1,概率比为1:2:3,则EX=()
A、1/3
B、1/2
C、2/3
D、1/6
答案:A

6、假设X和都服从区间[0,1]上的均匀分布,并且彼此相互独立,则P{Y≤X²}=(    )
A、1/5
B、1/4
C、1/3
D、1/2
答案:C

7、己知随机变量X的概率函数为P{X=k}=A·

河南财大成教《概率论与数理统计》专升本课程原题及答案 图25

河南财大成教《概率论与数理统计》专升本课程原题及答案 图25
,k=1,2,……,则A=(    )
A、0.7
B、0.6
C、0.5
D、0.4
答案:A

8、设随机变量X和Y有DX=25,DY=36,

河南财大成教《概率论与数理统计》专升本课程原题及答案 图26

河南财大成教《概率论与数理统计》专升本课程原题及答案 图26
=0.4,则D(X+Y)=(    )
A、37
B、49
C、73
D、85
答案:D

9、根据以往的资料,某一三口之家患某种传染病的概率有以下规律: P{孩子得病}=0.6,P{母亲得病|孩子得病}=0.5,P{父亲得病|母亲及孩子得病}=0.4,则母亲及孩子得病而父亲未得病的概率为()
A、0.18
B、0.12
C、0.08
D、0.16
答案:A
10、已知随机变量X的概率函数为P{X=k}=

河南财大成教《概率论与数理统计》专升本课程原题及答案 图27

河南财大成教《概率论与数理统计》专升本课程原题及答案 图27
,k=1,2,…,则A=(    )
A、0
B、1/4
C、1/2
D、1
答案:D
11、设(X,Y)的联合概率密度为

河南财大成教《概率论与数理统计》专升本课程原题及答案 图28

河南财大成教《概率论与数理统计》专升本课程原题及答案 图28
,则P{Y≤X}=(  )
A、0.1
B、0.2
C、0.3
D、0.4
答案:D

12、下列说法正确的是:()
A、若事件A、B互不相容,则事件A、B独立;
B、若事件A、B独立,则事件A、B互不相容;
C、若事件A是必然事件,则P(A)=1;
D、若P(A)=1,则事件A是必然事件.
答案:C

13、已知随机变量X~N(2,9),则下列随机变量服从 N(0,1)的是(    )
A、(X+2)/3
B、(X-2)/3
C、(X+2)/9
D、(X-2)/9
答案:B
14、已知随机变量X的概率函数为

河南财大成教《概率论与数理统计》专升本课程原题及答案 图29

河南财大成教《概率论与数理统计》专升本课程原题及答案 图29
,k=1,2,…,则A=(    )
A、2
B、1
C、1/2
D、1/3
答案:B

15、设书籍中每页的印刷错误数服从泊松分布,经统计发现在某本书上,有一个印刷错误的页数与有2个印刷错误的页数相同,任意检验4页,恰有2页上没有印刷错误的概率为(    )

河南财大成教《概率论与数理统计》专升本课程原题及答案 图30

河南财大成教《概率论与数理统计》专升本课程原题及答案 图30

答案:D

16、已知Y=-3X+1,则

河南财大成教《概率论与数理统计》专升本课程原题及答案 图31

河南财大成教《概率论与数理统计》专升本课程原题及答案 图31
=(    )
A、0
B、1
C、-1
D、2
答案:C

17、有10个零件,其中混入了2个次品,从中随机地抽取3个,其中至少有1个次品的概率为().
A、1/10
B、2/10
C、7/15
D、8/15
答案:D

18、设(X,Y)~N(1,1,1,1,0.5),则Cov(2x,Y+3)=(    )
A、5
B、3
C、1
D、4
答案:C
19、随机变量X的分布函数为

河南财大成教《概率论与数理统计》专升本课程原题及答案 图32

河南财大成教《概率论与数理统计》专升本课程原题及答案 图32
,则P{-1≤X≤0.25}=(    )
A、1
B、1/4
C、1/2
D、1/3
答案:C

20、抛掷两枚硬币,若事件A表示“两枚皆为反面”,则

河南财大成教《概率论与数理统计》专升本课程原题及答案 图33

河南财大成教《概率论与数理统计》专升本课程原题及答案 图33
表示(    )
A、至少一枚为正面
B、至少一枚为反面
C、两枚皆为正面
D、两枚皆不为正面
答案:A

21、已知随机变量X~N(3,4),则下列随机变量服从 N(0,1)的是(    )
A、(X-3)/2
B、(X+3)/2
C、(X-3)/4
D、(X+3)/4
答案:A

22、抛掷两枚硬币,若事件A表示“至少一枚为正面”,则

河南财大成教《概率论与数理统计》专升本课程原题及答案 图34

河南财大成教《概率论与数理统计》专升本课程原题及答案 图34
表示(    )
A、至少一枚为反面
B、至少一枚不为反面
C、两枚皆为反面
D、两枚皆为正面
答案:C

23、有10个零件,其中混入了2个次品,从中随机地抽取3个,其中最多一个正品的概率为()
A、2/10
B、1/10
C、8/15
D、7/15
答案:C

24、设随机变量X服从参数λ=1的泊松分布,Y~B(4,0.8).已知 D(X+Y)=2.6,则它们的相关系数

河南财大成教《概率论与数理统计》专升本课程原题及答案 图35

河南财大成教《概率论与数理统计》专升本课程原题及答案 图35
=___________
A、0.8
B、0.7
C、0.6
D、0.5
答案:C

25、已知P(A)=0.6,P(A-B)=0.3,则

河南财大成教《概率论与数理统计》专升本课程原题及答案 图36

河南财大成教《概率论与数理统计》专升本课程原题及答案 图36
为(    )
A、0.6
B、0.7
C、0.8
D、0.9
答案:B

简答练习

1、抛掷两枚硬币,若事件A表示“两枚皆为反面”,则

河南财大成教《概率论与数理统计》专升本课程原题及答案 图37

河南财大成教《概率论与数理统计》专升本课程原题及答案 图37
表示“两枚皆为正面”。
A、正确
B、错误
答案:B

2、设随机变量X和Y有DX=25,DY=36,

河南财大成教《概率论与数理统计》专升本课程原题及答案 图38

河南财大成教《概率论与数理统计》专升本课程原题及答案 图38
=0.4,则D(X-Y)=37。
A、正确
B、错误
答案:A

3、设X~N(0,1),则Φ(-x)=Ф(x).
A、正确
B、错误
答案:B

4、若E(XY)=E(X)E(Y),则X与Y相互独立. ( )
A、正确
B、错误
答案:B

5、设(X,Y)~N

河南财大成教《概率论与数理统计》专升本课程原题及答案 图39

河南财大成教《概率论与数理统计》专升本课程原题及答案 图39
,则X与Y相互独立的充要条件为ρ=0.
A、正确
B、错误
答案:A
6、设X~B(n,p),则由中心极限定理可得

河南财大成教《概率论与数理统计》专升本课程原题及答案 图40

河南财大成教《概率论与数理统计》专升本课程原题及答案 图40

A、正确
B、错误
答案:A

7、设(X,Y)~N(1,1,3²,4²,0.5),则 Cov(X+4, 4Y)=24.
A、正确
B、错误
答案:A

8、若在每次试验中,事件A不出现的概率为0.3,则在27次独立重复试验中,A最可能出现的次数为8次.()
A、正确
B、错误
答案:B

9、设随机变量X的分布函数为F(x),则

河南财大成教《概率论与数理统计》专升本课程原题及答案 图41

河南财大成教《概率论与数理统计》专升本课程原题及答案 图41
A、正确
B、错误
答案:B

10、若B⊂A,则P(B|A)≥P(B)
A、正确
B、错误
答案:A

11、设(X,Y)服从区域 D={(x,y)|0<x<1,0<y<1}上的均匀分布,则P{X+Y≤1}=0.5.
A、正确
B、错误
答案:A

12、已知随机变量X~N(2,9),则

河南财大成教《概率论与数理统计》专升本课程原题及答案 图42

河南财大成教《概率论与数理统计》专升本课程原题及答案 图42
A、正确
B、错误
答案:A

13、对于二维连续型随机向量(X,Y)的联合密度函数f(x,y)和边缘密度函数fx(x),fy(y),一定有

河南财大成教《概率论与数理统计》专升本课程原题及答案 图43

河南财大成教《概率论与数理统计》专升本课程原题及答案 图43

A、正确
B、错误
答案:A

14、已知P(A)=0.8,P(A-B)=0.4,当A与B独立时,P(B)=0.4.()
A、正确
B、错误
答案:B

15、连续型随机变量的密度函数一定是连续函数. ( )
A、正确
B、错误
答案:B

16、若D(X+Y)=D(X-Y),则X与Y一定不相关. ( )
A、正确
B、错误
答案:A

17、若X与Y不相关,则E(XY)=EXEY.()
A、正确
B、错误
答案:A

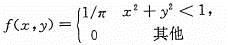
18、设(X,Y)服从区域 D 上的均匀分布,其中D={(x,y)|x²+y²≤1},则(X,Y)的联合密度函数为f(x,y)=1/π。
A、正确
B、错误
答案:B

19、设X~B(n1,p),Y~B(n2,p),且X与Y独立,则X+Y~B(n1+n2,p).()
A、正确
B、错误
答案:A

20、若A与B相互独立,则A与B互斥. ( )
A、正确
B、错误
答案:B

二、填空

21、已知随机变量X的概率函数为

河南财大成教《概率论与数理统计》专升本课程原题及答案 图44

河南财大成教《概率论与数理统计》专升本课程原题及答案 图44
,k=0,1,2,……则A=__________________
答案:1/2

22、设随机变量X,Y相互独立,X~N(1,4),Y服从区间[1,3]上的均匀分布,则D(X-3Y)=______________
答案:7

23、已知Y=-X+1,则

河南财大成教《概率论与数理统计》专升本课程原题及答案 图45

河南财大成教《概率论与数理统计》专升本课程原题及答案 图45
=_______________
答案:-1
24、随机变量X的分布函数为

河南财大成教《概率论与数理统计》专升本课程原题及答案 图46

河南财大成教《概率论与数理统计》专升本课程原题及答案 图46
,系数 A=___________
答案:1

25、设随机变量X与Y相互独立,X~N(1,4),Y服从区间[1,3]上的均匀分布,则D(X+3y)=__________
答案:7

26、随机变量X只取-1, 0, 1三个值,且相应概率的比为1: 2: 3,则EX=___________
答案:1/3

27、二维随机变量(X,y)的联合分布列为

河南财大成教《概率论与数理统计》专升本课程原题及答案 图47

河南财大成教《概率论与数理统计》专升本课程原题及答案 图47

设Z=Y/X,则E(Z)=____________________
答案:0.05

28、为了防止意外,在矿内同时设有两种报警系统A与B,每种系统单独使用时有效的概率为:系统A为0.92,系统B为0.93;在A失灵的条件下,B有效地概率为0.85,则发生意外时,两个报警系统至少有一个有效地概率为______________
答案:0.988

29、设X与Y相互独立且同服从参数为p=1/3的0-1分布,则P{X=Y}=_________
答案:5/9

30、若事件A与B相互独立,P(A)=0.4,P(A+B)=0.6,则P(B) =_____________
答案:1/3

综合作业

一、 计算
1、某种电子元器件的使用寿命X是随即变量,服从指数分布,平均寿命为1000小时.规定使用寿命在500小时以下为废品,产值为0元;使用寿命在500到1000小时之间为次品,产值为10元;使用寿命在1000到1500小时之间为二等品,产值为30元;使用寿命在1500小时以上者为一等品,产值为40元.求该产品的平均产值.
答案:15.65

2、随机向量(X,Y)服从区域D上的均匀分布,其中D由x轴,y轴和x+y=1围成的区域. 设Z=X+Y,求Z的密度函数.
答案:0|1|2

3、设随机变量孑的概率密度函数为

河南财大成教《概率论与数理统计》专升本课程原题及答案 图48

河南财大成教《概率论与数理统计》专升本课程原题及答案 图48
(1)确定A的值;(2)求分布函数 F(x);(3)求概率

河南财大成教《概率论与数理统计》专升本课程原题及答案 图49

河南财大成教《概率论与数理统计》专升本课程原题及答案 图49

答案:1/2

4、三门高射炮各自独立地射击,它们击中敌机的概率分别为0.6、0.7、0.8. 现三门炮同时各发射一次,求敌机被击中的概率.
答案:0.976

5、随机变量X
答案:如图所示。解析:暂无

6、某年级有400名学生,每天晚上每人去上晚自习的概率为0.8,并且假定每人是否去彼此无关,用中心极限定理求每天晚上至少有300名学生去上晚自习的概率.Φ((2.5)=0.99379)
答案:0.99379

7、设随机变量X服从区间(0,2)上的均匀分布,求Y=X²的密度函数。
答案:单调递增函数|值域|反函数

8、某公路上跑着的汽车分为载重汽车和非载重汽车,二者数量之比为3:2,已知载重汽车发生故障需中途停下来修理的概率为1%,而非载重汽车中途停修的概率为2%,现有一辆车停下来修理,问它是载重汽车的概率是多少?
答案:3/7

9、设随机变量X的概率密度函数为

河南财大成教《概率论与数理统计》专升本课程原题及答案 图50

河南财大成教《概率论与数理统计》专升本课程原题及答案 图50
(1)确定a的值;(2)求概率 P{-1<X<0.5};(3)求分布函数 F(x).
答案:0,0.25

10、10个人中有4个男生,从中任挑两名,若已知两人中有一人是男生,求另一人也是男生的概率.
答案:1/5

11、某超市负责供应某地区10000人的某种商品,若在一段时间内每人需要这种商品的概率为0.2,且各人是否购买彼此无关,问超市应预备这种商品多少件,才能以99.7% 的概率保证不会脱销. (Φ(2.75) = 0.997 )
答案:2110

12、甲、乙、丙三人在同一时间分别破译某一密码,设他们译出的概率分别为0.6、0.7、0.8,求密码被破译的概率.
答案:0.976

13、已知X~U(0,1),求Y= 2X+1 的概率密度函数fy(y)
答案:0|1|2|3

14、随机向量(X,Y)服从区域D上的均匀分布,其中D是由x轴,y轴和x+y=1围成的区域.(1)写出(X,Y)的联合密度;(2)求关于X和Y的边缘密度;(3) 判断X与Y是否相互独立.
答案:不互相独立

15、设对于某种少见的疾病的检出率为0.95:即如果某个人患有这种疾病,其检查结果为阳性的概率为0.95;如果该人没有这种疾病,其检查结果为阴性的概率也是0.95。现在假定某一人群中患有这种疾病的概率为0.001,并从这个总体中随机地抽取一个人进行检查,结果为阳性。问这个人患有这种病的概率有多大?
答案:0.0187

16、随机向量(X,Y)服从区域D上的均匀分布,其中D是由x轴,x=1和y=x围成的区域.(1)写出(X,Y)的联合密度;(2)求关于X和Y的边缘密度;(3) 判断X与Y是否相互独立.
答案:不互相独立

17、树的主人外出,委托邻居浇水. 如果邻居不浇水,树死去的概率为0.8;若浇水,树死去的概率为0.15. 若有0.9的把握确定邻居会记得浇水,(1)求主人回来树还活着的概率;(2)若主人回来树已经死去,求邻居忘记浇水的概率.
答案:16/43

18、某商店负责供应某地区1000人的某种商品,若在一段时间内每人需要一件这种商品的概率为0.6,且各人是否购买彼此无关,问商店应预备这种商品多少件,才能以99.7%的概率保证不会脱销. (Φ(2.75) = 0.997020 )
答案:643

19、设随机变量x的概率密度函数为

河南财大成教《概率论与数理统计》专升本课程原题及答案 图51

河南财大成教《概率论与数理统计》专升本课程原题及答案 图51

(1)确定A的值;(2)求分布函数F(x);(3)求概率 P{|X|<1}.
答案:

河南财大成教《概率论与数理统计》专升本课程原题及答案 图52

河南财大成教《概率论与数理统计》专升本课程原题及答案 图52

20、设(X,Y)的联合密度为

河南财大成教《概率论与数理统计》专升本课程原题及答案 图53

河南财大成教《概率论与数理统计》专升本课程原题及答案 图53
,求:
(1)待定常数 C;
(2)P{(X,Y)∈D},其中D={(x,y)|0≤x≤1, 0≤y≤1}.
答案:1/16

21、某电子计算机主机有400个终端,每个终端有80的时间被使用. 若各个终端是否被使用是相互独立的,求至少有300个终端被使用的概率. (Φ(2.5) = 0.99379 )
答案:0.99379

22、设一批混合麦种中一等品、二等品、三等品分别占20%、70%、10%,三个等级的发芽率依次为0.9、0.7、0.3,求:(1)这批麦种的发芽率;(2)若取一粒能发芽,它是二等品的概率.
答案:0.7
23、设随机变量孑的密度函数为

河南财大成教《概率论与数理统计》专升本课程原题及答案 图54

河南财大成教《概率论与数理统计》专升本课程原题及答案 图54

答案:1/6

24、设随机变量 孑服从区间(1,2)上的均匀分布,求

河南财大成教《概率论与数理统计》专升本课程原题及答案 图55

河南财大成教《概率论与数理统计》专升本课程原题及答案 图55
的密度函数。
答案:0|1|2
25、设随机变量

河南财大成教《概率论与数理统计》专升本课程原题及答案 图56

河南财大成教《概率论与数理统计》专升本课程原题及答案 图56
,-∞<x<+∞,
求:(1)常数a的值;(2)分布函数F(x);(3)P{|X|<1}
答案:1/2
回复

使用道具 举报

全部回复0 显示全部楼层
暂无回复,精彩从你开始!

快速回帖

您需要登录后才可以回帖 登录 | 立即注册

本版积分规则